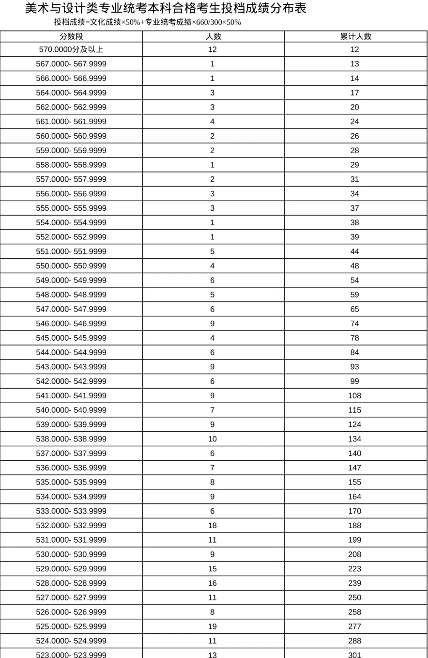
上海市-美术与设计类专业统考本科合格考生投档成绩分布表


美术与设计类专业统考本科合格考生投档成绩分布表
投档成绩=文化成绩×50%+专业统考成绩×660/300×50%
分数段 人数 累计人数
570.0000分及以上 12 12
567.0000- 567.9999 1 13
566.0000- 566.9999 1 14
564.0000- 564.9999 3 17
562.0000- 562.9999 3 20
561.0000- 561.9999 4 24
560.0000- 560.9999 2 26
559.0000- 559.9999 2 28
558.0000- 558.9999 1 29
557.0000- 557.9999 2 31
556.0000- 556.9999 3 34
555.0000- 555.9999 3 37
554.0000- 554.9999 1 38
552.0000- 552.9999 1 39
551.0000- 551.9999 5 44
550.0000- 550.9999 4 48
549.0000- 549.9999 6 54
548.0000- 548.9999 5 59
547.0000- 547.9999 6 65
546.0000- 546.9999 9 74
545.0000- 545.9999 4 78
544.0000- 544.9999 6 84
543.0000- 543.9999 9 93
542.0000- 542.9999 6 99
541.0000- 541.9999 9 108
540.0000- 540.9999 7 115
539.0000- 539.9999 9 124
538.0000- 538.9999 10 134
537.0000- 537.9999 6 140
536.0000- 536.9999 7 147
535.0000- 535.9999 8 155
534.0000- 534.9999 9 164
533.0000- 533.9999 6 170
532.0000- 532.9999 18 188
531.0000- 531.9999 11 199
530.0000- 530.9999 9 208
529.0000- 529.9999 15 223
528.0000- 528.9999 16 239
527.0000- 527.9999 11 250
526.0000- 526.9999 8 258
525.0000- 525.9999 19 277
524.0000- 524.9999 11 288
523.0000- 523.9999 13 301
522.0000- 522.9999 18 319
521.0000- 521.9999 9 328
520.0000- 520.9999 22 350
519.0000- 519.9999 16 366
518.0000- 518.9999 18 384
517.0000- 517.9999 18 402
516.0000- 516.9999 14 416
515.0000- 515.9999 19 435
514.0000- 514.9999 20 455
513.0000- 513.9999 17 472
512.0000- 512.9999 22 494
511.0000- 511.9999 17 511
510.0000- 510.9999 29 540
509.0000- 509.9999 27 567
508.0000- 508.9999 16 583
507.0000- 507.9999 21 604
506.0000- 506.9999 25 629
505.0000- 505.9999 37 666
504.0000- 504.9999 23 689
503.0000- 503.9999 30 719
502.0000- 502.9999 22 741
501.0000- 501.9999 25 766
500.0000- 500.9999 20 786
499.0000- 499.9999 29 815
498.0000- 498.9999 31 846
497.0000- 497.9999 26 872
496.0000- 496.9999 24 896
495.0000- 495.9999 23 919
494.0000- 494.9999 32 951
493.0000- 493.9999 30 981
492.0000- 492.9999 25 1006
491.0000- 491.9999 25 1031
490.0000- 490.9999 30 1061
489.0000- 489.9999 36 1097
488.0000- 488.9999 31 1128
487.0000- 487.9999 31 1159
486.0000- 486.9999 49 1208
485.0000- 485.9999 34 1242
484.0000- 484.9999 32 1274
483.0000- 483.9999 40 1314
482.0000- 482.9999 39 1353
481.0000- 481.9999 45 1398
480.0000- 480.9999 39 1437
479.0000- 479.9999 36 1473
478.0000- 478.9999 32 1505
477.0000- 477.9999 52 1557
476.0000- 476.9999 41 1598
475.0000- 475.9999 31 1629
474.0000- 474.9999 47 1676
473.0000- 473.9999 47 1723
472.0000- 472.9999 45 1768
471.0000- 471.9999 46 1814
470.0000- 470.9999 46 1860
469.0000- 469.9999 41 1901
468.0000- 468.9999 48 1949
467.0000- 467.9999 45 1994
466.0000- 466.9999 43 2037
465.0000- 465.9999 43 2080
464.0000- 464.9999 52 2132
463.0000- 463.9999 53 2185
462.0000- 462.9999 66 2251
461.0000- 461.9999 56 2307
460.0000- 460.9999 59 2366
459.0000- 459.9999 50 2416
458.0000- 458.9999 68 2484
457.0000- 457.9999 55 2539
456.0000- 456.9999 54 2593
455.0000- 455.9999 64 2657
454.0000- 454.9999 54 2711
453.0000- 453.9999 56 2767
452.0000- 452.9999 69 2836
451.0000- 451.9999 68 2904
450.0000- 450.9999 60 2964
449.0000- 449.9999 58 3022
448.0000- 448.9999 62 3084
447.0000- 447.9999 59 3143
446.0000- 446.9999 46 3189
445.0000- 445.9999 57 3246
444.0000- 444.9999 69 3315
443.0000- 443.9999 62 3377
442.0000- 442.9999 61 3438
441.0000- 441.9999 72 3510
440.0000- 440.9999 63 3573
439.0000- 439.9999 56 3629
438.0000- 438.9999 54 3683
437.0000- 437.9999 65 3748
436.0000- 436.9999 64 3812
435.0000- 435.9999 48 3860
434.0000- 434.9999 58 3918
433.0000- 433.9999 58 3976
432.0000- 432.9999 56 4032
431.0000- 431.9999 50 4082
430.0000- 430.9999 64 4146
429.0000- 429.9999 50 4196
428.0000- 428.9999 56 4252
427.0000- 427.9999 42 4294
426.0000- 426.9999 54 4348
425.0000- 425.9999 65 4413
424.0000- 424.9999 43 4456
423.0000- 423.9999 48 4504
422.0000- 422.9999 41 4545
421.0000- 421.9999 44 4589
420.0000- 420.9999 62 4651
419.0000- 419.9999 43 4694
418.0000- 418.9999 41 4735
417.0000- 417.9999 50 4785
416.0000- 416.9999 49 4834
415.0000- 415.9999 54 4888
414.0000- 414.9999 63 4951
413.0000- 413.9999 39 4990
412.0000- 412.9999 36 5026
411.0000- 411.9999 27 5053
410.0000- 410.9999 45 5098
409.0000- 409.9999 25 5123
408.0000- 408.9999 44 5167
407.0000- 407.9999 44 5211
406.0000- 406.9999 24 5235
405.0000- 405.9999 31 5266
404.0000- 404.9999 43 5309
403.0000- 403.9999 26 5335
402.0000- 402.9999 26 5361
401.0000- 401.9999 18 5379
400.0000- 400.9999 27 5406
399.0000- 399.9999 30 5436
398.0000- 398.9999 23 5459
397.0000- 397.9999 31 5490
396.0000- 396.9999 34 5524
395.0000- 395.9999 32 5556
394.0000- 394.9999 20 5576
393.0000- 393.9999 18 5594
392.0000- 392.9999 24 5618
391.0000- 391.9999 14 5632
390.0000- 390.9999 18 5650
389.0000- 389.9999 21 5671
388.0000- 388.9999 11 5682
387.0000- 387.9999 18 5700
386.0000- 386.9999 14 5714
385.0000- 385.9999 15 5729
384.0000- 384.9999 9 5738
383.0000- 383.9999 7 5745
382.0000- 382.9999 12 5757
381.0000- 381.9999 7 5764
380.0000- 380.9999 14 5778
379.0000- 379.9999 9 5787
378.0000- 378.9999 10 5797
377.0000- 377.9999 7 5804
376.0000- 376.9999 8 5812
375.0000- 375.9999 7 5819
374.0000- 374.9999 4 5823
373.0000- 373.9999 8 5831
372.0000- 372.9999 13 5844
371.0000- 371.9999 7 5851
370.0000- 370.9999 4 5855
369.0000- 369.9999 6 5861
368.0000- 368.9999 10 5871
367.0000- 367.9999 4 5875
366.0000- 366.9999 3 5878
365.0000- 365.9999 4 5882
364.0000- 364.9999 2 5884
363.0000- 363.9999 4 5888
362.0000- 362.9999 3 5891
361.0000- 361.9999 3 5894
360.0000- 360.9999 2 5896
358.0000- 358.9999 1 5897
357.0000- 357.9999 3 5900
356.0000- 356.9999 1 5901
354.0000- 354.9999 2 5903
注:以上为高考文化成绩达到艺术类本科控制分数线且美术与设计类专业统考本科合格的考生投
档成绩分布表。
第 4 页, 共 4 页