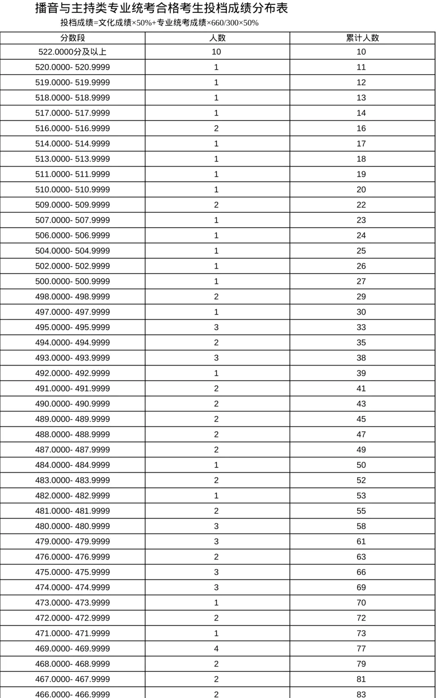
上海市-播音与主持类专业统考合格考生投档成绩分布表


播音与主持类专业统考合格考生投档成绩分布表
投档成绩=文化成绩×50%+专业统考成绩×660/300×50%
分数段 人数 累计人数
522.0000分及以上 10 10
520.0000- 520.9999 1 11
519.0000- 519.9999 1 12
518.0000- 518.9999 1 13
517.0000- 517.9999 1 14
516.0000- 516.9999 2 16
514.0000- 514.9999 1 17
513.0000- 513.9999 1 18
511.0000- 511.9999 1 19
510.0000- 510.9999 1 20
509.0000- 509.9999 2 22
507.0000- 507.9999 1 23
506.0000- 506.9999 1 24
504.0000- 504.9999 1 25
502.0000- 502.9999 1 26
500.0000- 500.9999 1 27
498.0000- 498.9999 2 29
497.0000- 497.9999 1 30
495.0000- 495.9999 3 33
494.0000- 494.9999 2 35
493.0000- 493.9999 3 38
492.0000- 492.9999 1 39
491.0000- 491.9999 2 41
490.0000- 490.9999 2 43
489.0000- 489.9999 2 45
488.0000- 488.9999 2 47
487.0000- 487.9999 2 49
484.0000- 484.9999 1 50
483.0000- 483.9999 2 52
482.0000- 482.9999 1 53
481.0000- 481.9999 2 55
480.0000- 480.9999 3 58
479.0000- 479.9999 3 61
476.0000- 476.9999 2 63
475.0000- 475.9999 3 66
474.0000- 474.9999 3 69
473.0000- 473.9999 1 70
472.0000- 472.9999 2 72
471.0000- 471.9999 1 73
469.0000- 469.9999 4 77
468.0000- 468.9999 2 79
467.0000- 467.9999 2 81
466.0000- 466.9999 2 83
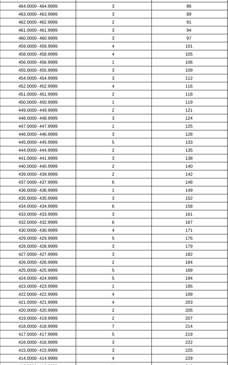
464.0000- 464.9999 3 86
463.0000- 463.9999 3 89
462.0000- 462.9999 2 91
461.0000- 461.9999 3 94
460.0000- 460.9999 3 97
459.0000- 459.9999 4 101
458.0000- 458.9999 4 105
456.0000- 456.9999 1 106
455.0000- 455.9999 3 109
454.0000- 454.9999 3 112
452.0000- 452.9999 4 116
451.0000- 451.9999 2 118
450.0000- 450.9999 1 119
449.0000- 449.9999 2 121
448.0000- 448.9999 3 124
447.0000- 447.9999 1 125
446.0000- 446.9999 3 128
445.0000- 445.9999 5 133
444.0000- 444.9999 2 135
441.0000- 441.9999 3 138
440.0000- 440.9999 2 140
439.0000- 439.9999 2 142
437.0000- 437.9999 6 148
436.0000- 436.9999 1 149
435.0000- 435.9999 3 152
434.0000- 434.9999 6 158
433.0000- 433.9999 3 161
432.0000- 432.9999 6 167
430.0000- 430.9999 4 171
429.0000- 429.9999 5 176
428.0000- 428.9999 3 179
427.0000- 427.9999 3 182
426.0000- 426.9999 2 184
425.0000- 425.9999 5 189
424.0000- 424.9999 5 194
423.0000- 423.9999 1 195
422.0000- 422.9999 4 199
421.0000- 421.9999 4 203
420.0000- 420.9999 2 205
419.0000- 419.9999 2 207
418.0000- 418.9999 7 214
417.0000- 417.9999 5 219
416.0000- 416.9999 3 222
415.0000- 415.9999 3 225
414.0000- 414.9999 4 229
413.0000- 413.9999 14 243
412.0000- 412.9999 1 244
411.0000- 411.9999 1 245
410.0000- 410.9999 2 247
409.0000- 409.9999 8 255
408.0000- 408.9999 6 261
407.0000- 407.9999 4 265
406.0000- 406.9999 6 271
405.0000- 405.9999 4 275
404.0000- 404.9999 1 276
403.0000- 403.9999 4 280
402.0000- 402.9999 4 284
401.0000- 401.9999 4 288
400.0000- 400.9999 4 292
399.0000- 399.9999 3 295
398.0000- 398.9999 2 297
397.0000- 397.9999 2 299
396.0000- 396.9999 2 301
395.0000- 395.9999 2 303
394.0000- 394.9999 1 304
392.0000- 392.9999 3 307
391.0000- 391.9999 2 309
390.0000- 390.9999 3 312
389.0000- 389.9999 2 314
388.0000- 388.9999 3 317
387.0000- 387.9999 2 319
386.0000- 386.9999 3 322
384.0000- 384.9999 2 324
383.0000- 383.9999 2 326
381.0000- 381.9999 2 328
380.0000- 380.9999 2 330
379.0000- 379.9999 2 332
378.0000- 378.9999 1 333
377.0000- 377.9999 1 334
376.0000- 376.9999 1 335
375.0000- 375.9999 1 336
374.0000- 374.9999 1 337
373.0000- 373.9999 2 339
371.0000- 371.9999 1 340
366.0000- 366.9999 2 342
365.0000- 365.9999 1 343
356.0000- 356.9999 1 344
355.0000- 355.9999 1 345
354.0000- 354.9999 2 347
注:以上为高考文化成绩达到艺术类本科控制分数线且播音与主持类专业统考合格的考生投档成
绩分布表。
第 3 页, 共 3 页