上海市-表(导)演类—戏剧影视表演方向专业统考合格考生投档成绩分布表

表(导)演类—戏剧影视表演方向专业统考合格考生
投档成绩分布表
投档成绩=文化成绩×50%+专业统考成绩×660/300×50%
分数段 人数 累计人数
508.0000分及以上 10 10
507.0000- 507.9999 1 11
505.0000- 505.9999 2 13
504.0000- 504.9999 1 14
501.0000- 501.9999 1 15
500.0000- 500.9999 2 17
499.0000- 499.9999 5 22
498.0000- 498.9999 1 23
497.0000- 497.9999 3 26
496.0000- 496.9999 3 29
495.0000- 495.9999 1 30
494.0000- 494.9999 3 33
491.0000- 491.9999 1 34
490.0000- 490.9999 2 36
489.0000- 489.9999 3 39
488.0000- 488.9999 2 41
487.0000- 487.9999 3 44
486.0000- 486.9999 2 46
485.0000- 485.9999 4 50
484.0000- 484.9999 1 51
483.0000- 483.9999 2 53
482.0000- 482.9999 1 54
481.0000- 481.9999 1 55
480.0000- 480.9999 2 57
479.0000- 479.9999 6 63
478.0000- 478.9999 2 65
477.0000- 477.9999 3 68
476.0000- 476.9999 2 70
475.0000- 475.9999 1 71
474.0000- 474.9999 4 75
473.0000- 473.9999 4 79
472.0000- 472.9999 4 83
471.0000- 471.9999 4 87
470.0000- 470.9999 1 88
469.0000- 469.9999 3 91
467.0000- 467.9999 4 95
465.0000- 465.9999 1 96
464.0000- 464.9999 2 98
463.0000- 463.9999 5 103
462.0000- 462.9999 3 106
461.0000- 461.9999 4 110
460.0000- 460.9999 2 112
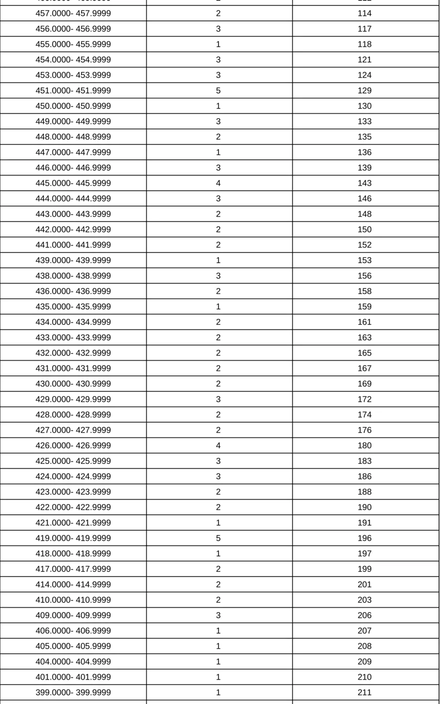
457.0000- 457.9999 2 114
456.0000- 456.9999 3 117
455.0000- 455.9999 1 118
454.0000- 454.9999 3 121
453.0000- 453.9999 3 124
451.0000- 451.9999 5 129
450.0000- 450.9999 1 130
449.0000- 449.9999 3 133
448.0000- 448.9999 2 135
447.0000- 447.9999 1 136
446.0000- 446.9999 3 139
445.0000- 445.9999 4 143
444.0000- 444.9999 3 146
443.0000- 443.9999 2 148
442.0000- 442.9999 2 150
441.0000- 441.9999 2 152
439.0000- 439.9999 1 153
438.0000- 438.9999 3 156
436.0000- 436.9999 2 158
435.0000- 435.9999 1 159
434.0000- 434.9999 2 161
433.0000- 433.9999 2 163
432.0000- 432.9999 2 165
431.0000- 431.9999 2 167
430.0000- 430.9999 2 169
429.0000- 429.9999 3 172
428.0000- 428.9999 2 174
427.0000- 427.9999 2 176
426.0000- 426.9999 4 180
425.0000- 425.9999 3 183
424.0000- 424.9999 3 186
423.0000- 423.9999 2 188
422.0000- 422.9999 2 190
421.0000- 421.9999 1 191
419.0000- 419.9999 5 196
418.0000- 418.9999 1 197
417.0000- 417.9999 2 199
414.0000- 414.9999 2 201
410.0000- 410.9999 2 203
409.0000- 409.9999 3 206
406.0000- 406.9999 1 207
405.0000- 405.9999 1 208
404.0000- 404.9999 1 209
401.0000- 401.9999 1 210
399.0000- 399.9999 1 211
390.0000- 390.9999 1 212
388.0000- 388.9999 2 214
386.0000- 386.9999 1 215
384.0000- 384.9999 1 216
383.0000- 383.9999 1 217
375.0000- 375.9999 1 218
369.0000- 369.9999 1 219
365.0000- 365.9999 1 220
注:以上为高考文化成绩达到艺术类本科控制分数线且表(导)演类—戏剧影视表演方向专业统
考合格的考生投档成绩分布表。
第 2 页, 共 2 页