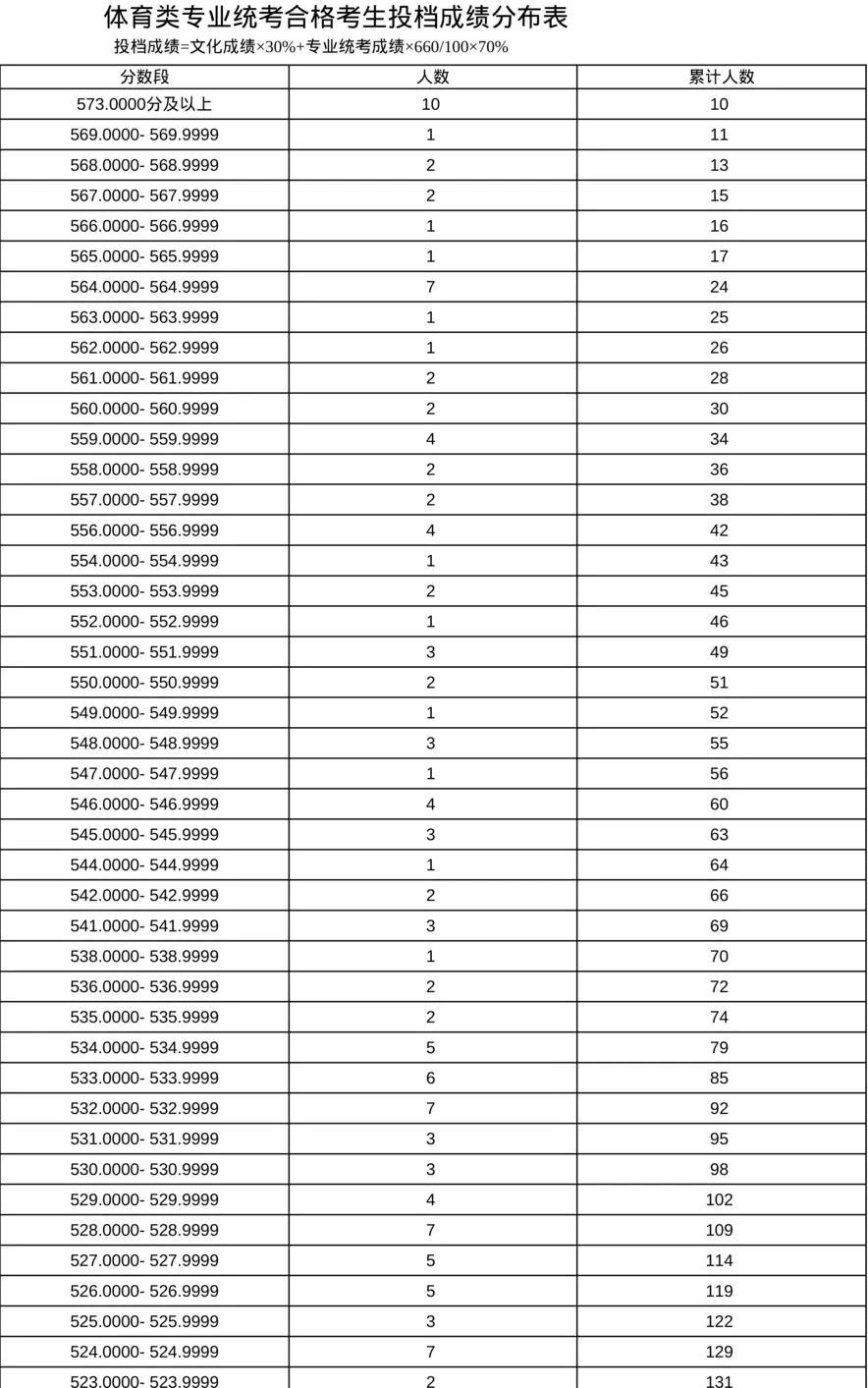
上海市-体育类专业统考合格考生投档成绩分布表


体育类专业统考合格考生投档成绩分布表
投档成绩=文化成绩×30%+专业统考成绩×660/100×70%
分数段 人数 累计人数
573.0000分及以上 10 10
569.0000- 569.9999 1 11
568.0000- 568.9999 2 13
567.0000- 567.9999 2 15
566.0000- 566.9999 1 16
565.0000- 565.9999 1 17
564.0000- 564.9999 7 24
563.0000- 563.9999 1 25
562.0000- 562.9999 1 26
561.0000- 561.9999 2 28
560.0000- 560.9999 2 30
559.0000- 559.9999 4 34
558.0000- 558.9999 2 36
557.0000- 557.9999 2 38
556.0000- 556.9999 4 42
554.0000- 554.9999 1 43
553.0000- 553.9999 2 45
552.0000- 552.9999 1 46
551.0000- 551.9999 3 49
550.0000- 550.9999 2 51
549.0000- 549.9999 1 52
548.0000- 548.9999 3 55
547.0000- 547.9999 1 56
546.0000- 546.9999 4 60
545.0000- 545.9999 3 63
544.0000- 544.9999 1 64
542.0000- 542.9999 2 66
541.0000- 541.9999 3 69
538.0000- 538.9999 1 70
536.0000- 536.9999 2 72
535.0000- 535.9999 2 74
534.0000- 534.9999 5 79
533.0000- 533.9999 6 85
532.0000- 532.9999 7 92
531.0000- 531.9999 3 95
530.0000- 530.9999 3 98
529.0000- 529.9999 4 102
528.0000- 528.9999 7 109
527.0000- 527.9999 5 114
526.0000- 526.9999 5 119
525.0000- 525.9999 3 122
524.0000- 524.9999 7 129
523.0000- 523.9999 2 131
522.0000- 522.9999 3 134
521.0000- 521.9999 3 137
520.0000- 520.9999 4 141
519.0000- 519.9999 6 147
518.0000- 518.9999 4 151
517.0000- 517.9999 2 153
516.0000- 516.9999 3 156
515.0000- 515.9999 4 160
514.0000- 514.9999 3 163
513.0000- 513.9999 5 168
512.0000- 512.9999 2 170
511.0000- 511.9999 5 175
510.0000- 510.9999 6 181
509.0000- 509.9999 9 190
508.0000- 508.9999 6 196
507.0000- 507.9999 4 200
506.0000- 506.9999 5 205
505.0000- 505.9999 3 208
504.0000- 504.9999 7 215
503.0000- 503.9999 5 220
502.0000- 502.9999 2 222
501.0000- 501.9999 2 224
500.0000- 500.9999 6 230
499.0000- 499.9999 6 236
498.0000- 498.9999 6 242
497.0000- 497.9999 4 246
496.0000- 496.9999 6 252
495.0000- 495.9999 4 256
494.0000- 494.9999 3 259
493.0000- 493.9999 4 263
492.0000- 492.9999 2 265
491.0000- 491.9999 6 271
490.0000- 490.9999 4 275
489.0000- 489.9999 7 282
488.0000- 488.9999 1 283
487.0000- 487.9999 1 284
486.0000- 486.9999 4 288
485.0000- 485.9999 5 293
484.0000- 484.9999 4 297
483.0000- 483.9999 4 301
482.0000- 482.9999 1 302
481.0000- 481.9999 5 307
480.0000- 480.9999 4 311
479.0000- 479.9999 3 314
478.0000- 478.9999 5 319
477.0000- 477.9999 1 320
476.0000- 476.9999 2 322
475.0000- 475.9999 6 328
474.0000- 474.9999 4 332
473.0000- 473.9999 6 338
472.0000- 472.9999 3 341
471.0000- 471.9999 2 343
470.0000- 470.9999 6 349
469.0000- 469.9999 4 353
468.0000- 468.9999 7 360
467.0000- 467.9999 5 365
466.0000- 466.9999 2 367
465.0000- 465.9999 5 372
464.0000- 464.9999 3 375
463.0000- 463.9999 3 378
462.0000- 462.9999 3 381
461.0000- 461.9999 3 384
459.0000- 459.9999 7 391
458.0000- 458.9999 3 394
457.0000- 457.9999 4 398
456.0000- 456.9999 5 403
455.0000- 455.9999 4 407
454.0000- 454.9999 5 412
453.0000- 453.9999 10 422
452.0000- 452.9999 5 427
451.0000- 451.9999 2 429
450.0000- 450.9999 3 432
449.0000- 449.9999 1 433
448.0000- 448.9999 1 434
447.0000- 447.9999 2 436
445.0000- 445.9999 2 438
444.0000- 444.9999 2 440
443.0000- 443.9999 1 441
442.0000- 442.9999 2 443
441.0000- 441.9999 3 446
439.0000- 439.9999 2 448
438.0000- 438.9999 3 451
437.0000- 437.9999 3 454
436.0000- 436.9999 2 456
435.0000- 435.9999 2 458
434.0000- 434.9999 2 460
433.0000- 433.9999 1 461
432.0000- 432.9999 2 463
431.0000- 431.9999 2 465
430.0000- 430.9999 1 466
429.0000- 429.9999 1 467
427.0000- 427.9999 1 468
426.0000- 426.9999 3 471
425.0000- 425.9999 5 476
424.0000- 424.9999 3 479
423.0000- 423.9999 3 482
422.0000- 422.9999 5 487
421.0000- 421.9999 2 489
420.0000- 420.9999 1 490
418.0000- 418.9999 3 493
417.0000- 417.9999 3 496
416.0000- 416.9999 3 499
415.0000- 415.9999 2 501
414.0000- 414.9999 2 503
413.0000- 413.9999 3 506
412.0000- 412.9999 3 509
410.0000- 410.9999 5 514
409.0000- 409.9999 1 515
404.0000- 404.9999 2 517
402.0000- 402.9999 1 518
400.0000- 400.9999 2 520
396.0000- 396.9999 3 523
395.0000- 395.9999 1 524
393.0000- 393.9999 1 525
392.0000- 392.9999 1 526
391.0000- 391.9999 1 527
389.0000- 389.9999 2 529
388.0000- 388.9999 1 530
387.0000- 387.9999 1 531
373.0000- 373.9999 1 532
注:以上为高考文化成绩达到体育类本科控制分数线且体育类专业统考成绩合格的考生投档成绩
分布表。
第 3 页, 共 3 页