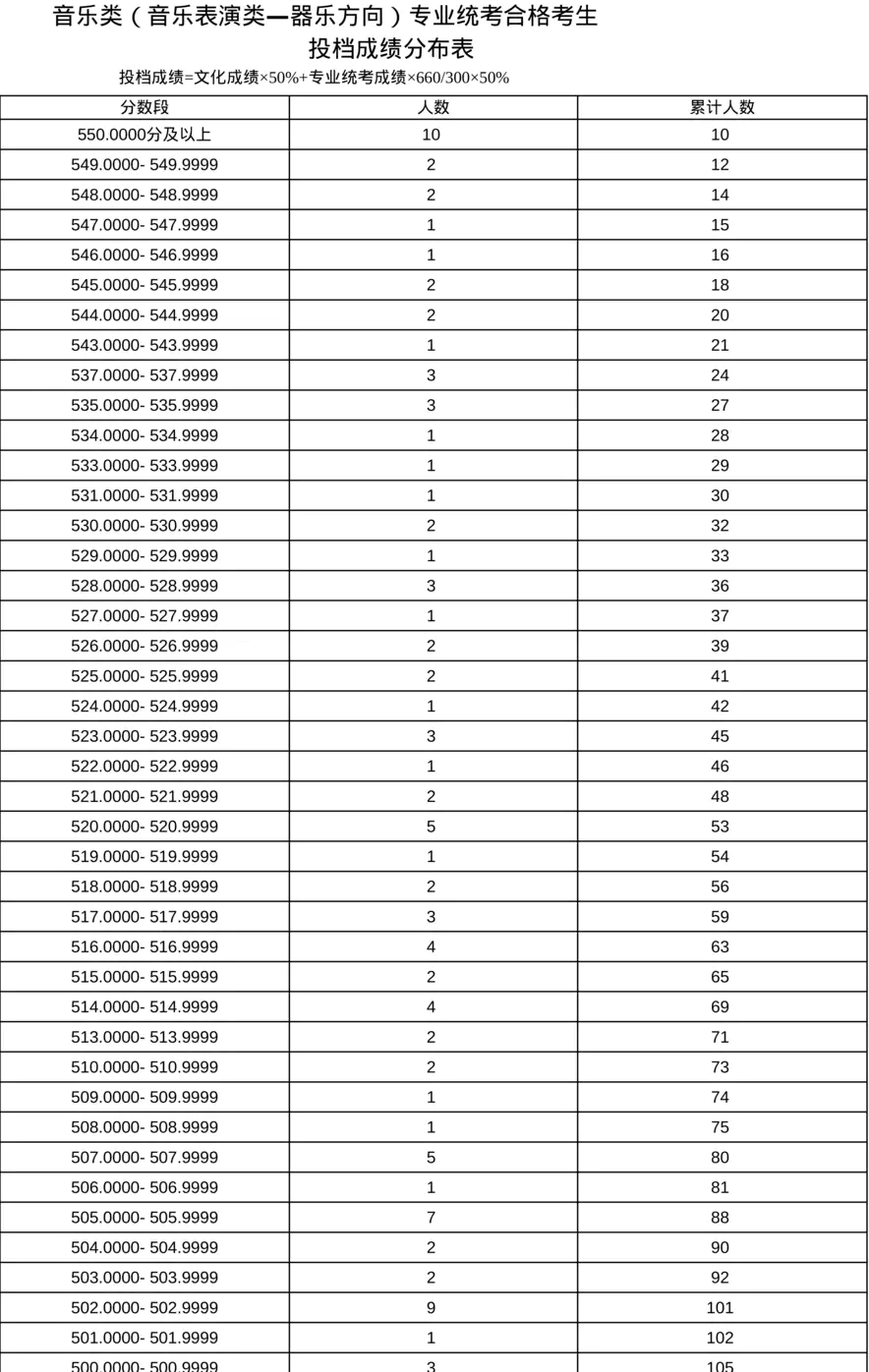
上海市-音乐类(音乐表演类—器乐方向)专业统考合格考生投档成绩分布表


音乐类(音乐表演类—器乐方向)专业统考合格考生
投档成绩分布表
投档成绩=文化成绩×50%+专业统考成绩×660/300×50%
分数段 人数 累计人数
550.0000分及以上 10 10
549.0000- 549.9999 2 12
548.0000- 548.9999 2 14
547.0000- 547.9999 1 15
546.0000- 546.9999 1 16
545.0000- 545.9999 2 18
544.0000- 544.9999 2 20
543.0000- 543.9999 1 21
537.0000- 537.9999 3 24
535.0000- 535.9999 3 27
534.0000- 534.9999 1 28
533.0000- 533.9999 1 29
531.0000- 531.9999 1 30
530.0000- 530.9999 2 32
529.0000- 529.9999 1 33
528.0000- 528.9999 3 36
527.0000- 527.9999 1 37
526.0000- 526.9999 2 39
525.0000- 525.9999 2 41
524.0000- 524.9999 1 42
523.0000- 523.9999 3 45
522.0000- 522.9999 1 46
521.0000- 521.9999 2 48
520.0000- 520.9999 5 53
519.0000- 519.9999 1 54
518.0000- 518.9999 2 56
517.0000- 517.9999 3 59
516.0000- 516.9999 4 63
515.0000- 515.9999 2 65
514.0000- 514.9999 4 69
513.0000- 513.9999 2 71
510.0000- 510.9999 2 73
509.0000- 509.9999 1 74
508.0000- 508.9999 1 75
507.0000- 507.9999 5 80
506.0000- 506.9999 1 81
505.0000- 505.9999 7 88
504.0000- 504.9999 2 90
503.0000- 503.9999 2 92
502.0000- 502.9999 9 101
501.0000- 501.9999 1 102
500.0000- 500.9999 3 105
499.0000- 499.9999 3 108
498.0000- 498.9999 2 110
497.0000- 497.9999 2 112
496.0000- 496.9999 3 115
495.0000- 495.9999 3 118
494.0000- 494.9999 3 121
493.0000- 493.9999 2 123
492.0000- 492.9999 2 125
491.0000- 491.9999 3 128
490.0000- 490.9999 4 132
489.0000- 489.9999 5 137
488.0000- 488.9999 2 139
487.0000- 487.9999 3 142
486.0000- 486.9999 5 147
485.0000- 485.9999 3 150
484.0000- 484.9999 2 152
483.0000- 483.9999 4 156
482.0000- 482.9999 2 158
481.0000- 481.9999 1 159
480.0000- 480.9999 3 162
479.0000- 479.9999 4 166
478.0000- 478.9999 2 168
477.0000- 477.9999 7 175
476.0000- 476.9999 6 181
475.0000- 475.9999 5 186
474.0000- 474.9999 4 190
473.0000- 473.9999 6 196
472.0000- 472.9999 3 199
471.0000- 471.9999 5 204
470.0000- 470.9999 4 208
469.0000- 469.9999 2 210
468.0000- 468.9999 1 211
467.0000- 467.9999 4 215
466.0000- 466.9999 3 218
465.0000- 465.9999 4 222
463.0000- 463.9999 1 223
462.0000- 462.9999 2 225
461.0000- 461.9999 3 228
460.0000- 460.9999 6 234
459.0000- 459.9999 3 237
458.0000- 458.9999 5 242
457.0000- 457.9999 1 243
456.0000- 456.9999 1 244
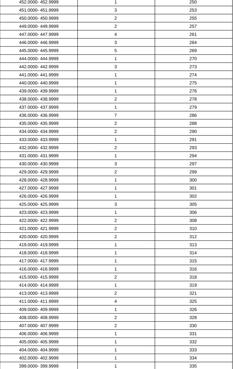
454.0000- 454.9999 4 248
453.0000- 453.9999 1 249
452.0000- 452.9999 1 250
451.0000- 451.9999 3 253
450.0000- 450.9999 2 255
449.0000- 449.9999 2 257
447.0000- 447.9999 4 261
446.0000- 446.9999 3 264
445.0000- 445.9999 5 269
444.0000- 444.9999 1 270
442.0000- 442.9999 3 273
441.0000- 441.9999 1 274
440.0000- 440.9999 1 275
439.0000- 439.9999 1 276
438.0000- 438.9999 2 278
437.0000- 437.9999 1 279
436.0000- 436.9999 7 286
435.0000- 435.9999 2 288
434.0000- 434.9999 2 290
433.0000- 433.9999 1 291
432.0000- 432.9999 2 293
431.0000- 431.9999 1 294
430.0000- 430.9999 3 297
429.0000- 429.9999 2 299
428.0000- 428.9999 1 300
427.0000- 427.9999 1 301
426.0000- 426.9999 1 302
425.0000- 425.9999 3 305
423.0000- 423.9999 1 306
422.0000- 422.9999 2 308
421.0000- 421.9999 2 310
420.0000- 420.9999 2 312
419.0000- 419.9999 1 313
418.0000- 418.9999 1 314
417.0000- 417.9999 1 315
416.0000- 416.9999 1 316
415.0000- 415.9999 2 318
414.0000- 414.9999 1 319
413.0000- 413.9999 2 321
411.0000- 411.9999 4 325
409.0000- 409.9999 1 326
408.0000- 408.9999 2 328
407.0000- 407.9999 2 330
406.0000- 406.9999 1 331
405.0000- 405.9999 1 332
404.0000- 404.9999 1 333
402.0000- 402.9999 1 334
399.0000- 399.9999 1 335
398.0000- 398.9999 2 337
397.0000- 397.9999 1 338
392.0000- 392.9999 1 339
390.0000- 390.9999 1 340
383.0000- 383.9999 1 341
381.0000- 381.9999 1 342
377.0000- 377.9999 1 343
375.0000- 375.9999 1 344
373.0000- 373.9999 1 345
368.0000- 368.9999 1 346
365.0000- 365.9999 1 347
注:以上为高考文化成绩达到艺术类本科控制分数线且音乐类(音乐表演类— 器乐方向) 专业统
考合格的考生投档成绩分布表。
第 3 页, 共 3 页